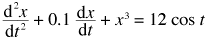
Japanese Attractor

The picture shows a strange attractor invented by Yoshisuke Ueda, of Kyoto University, in 1960's,
and named Japanese Attractor by French Mathematician, David Ruelle.
It is obtained by solving the Duffing's equation for k = 0.1 and B = 12,
and marking the points with coordinates, x(2nπ), dx(2nπ)/dt for integers n.

Return to Ueda's Chaotic Attractor